Loading

GT Korea
대진계측기
대진계측기

유량계

 
유량계 초음파 유량계 가스 초음파 유량계 GTGU

가스 초음파 유량계 GTGU

 

가스 초음파 유량계GTGU  


 

         


가스 초음파 유량계 GTGU  


 

1. 제품 설명

가스 초음파 유량계 GTGU Series는 독일의 첨단기술에 의해 생산된다.

모든 핵심 부품은 고신뢰성과 긴 사용 수명을 특징으로 한 오리지널 장비에서 수입된다.

높은 정밀도와 높은 신뢰성을 갖춘 새로운 유형의 정밀 측정기입니다.

도시 가스, 석유, 화학 산업, 전력, 야금 및 기타 산업의 가스 유량 측정에 적용 할 수 있습니다.

가스 초음파 유량계 GTGU series_Gas 초음파 유량계는 고유 한 다중화 이중 채널 (DN25 ~ 80) 및 다중 채널 6 채널(DN100 ~ 200)으로 설계되어 와류 및 비대칭 흐름의 영향을 제거하고, 다중 채널에 중복 백업 채널을 추가하며, 신뢰성을 향상시킵니다.

시스템의국제 표준 ISO CD 17089, 우리 표준 A.G.A를 준수하십시오. Report No.9.


2. 주요 특징

독일첨단기술로 제작

멀티플렉스 듀얼 채널 및 6채널 측정

에디 전류 및 비대칭 흐름 감지

전기장과 자기장의 적층 차폐, 고소음 내성

제로 드리프트 자동 보정, 정확도는 환경의 영향을 받지 않음

측정 정확도 등급 : 1.0

국제표준 ISO CD 17089에 부합

표준 A.G.A.를 준수하십시오.보고서 제9호

초고범위비: 1:600

울트라-로우 "0" 시작 유량

계량 범위는 루트 계량기와 터빈 계량기를 포함할 수 있다.

이중 백업 리튬 배터리 전원 공급 장치

고정밀 온도 및 압력 보정, 부피 보정

다양한 가스 작동 조건 및 표준 온도와 압력의 지능형 전환

대용량 스토리지, 1년간 데이터 저장 가능

지능형 고장 감지, 고장 경보

유지보수가 필요 없는 청소, 긴 사용 수명

측정기를 350도 회전시켜 쉽게 읽을 수 있다.

기계식 카운터 추가, 데이터는 절대 손실되지 않는다.


3. 작동 원리

3.1 초음파 유량계의 기본 작동 원리

      초음파 유량계는 유량 매체에서 음파 전파 시간과 유량과의 관계를 측정하는 원리에 기초한다.
    일반적으로 유체 내 음향파의 실제 전파 속도는 음파 전파 방향에서 음파의 정적 상태의 음향파의 전파 속도(cf )와 유체 성분 구성의 

    축 평균 속도(Vm)에 의해 결정된다고 생각된다.
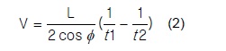
   그림 1과 같이 하류 및 상류 전파 시간과 각 수량 사이의 관계는 다음과 같다.

 

공식에서 :
              tup : 음파가 유체에서 현재 카운터로 전파하는 시간.
              tdown : 음파가 전류를 따라 유체에서 전파하는 시간.
              Cf : 음파가 유체 내에서 이동하는 속도.
              Vm : 유체의 축 방향 평균 속도;
              Ø : 채널 각도;

Fig. 1 일반적인 개략도
등식 (1)을 사용하여 유체 흐름 속도의 식을 구할 수 있다.

복수의 채널의 측정 된 유체 유속 Vi (i = 1,2, ... k); 파이프 라인의 평균 유속 V의 추정값은 수학적 함수 관계를

결합하여 구할 수 있으며, 체적 유량 qv는 식 (3)과 같이 추정 된 값에 유량 면적 A를 곱하여 얻을 수있다.

                                           

 

                       유형 : k : 채널 수                         

 

3.2 Echo Response에 근거한 정확한 비행 측정 시간

    초음파 유량계의 핵심 기술은 유체 내 음향파의 비행시간을 정확하게 측정하는 것이며,비행시간은 infig.

    2와 같이 유체 내 고유 지연 ɛ(불확실성)과 유체 내 비행시간 t0으로 구성된다.


 

 

Fig. 2   에코 반응에 기초한 도식도


 

     따라서, 센서와 처리 회로의 불명확 한 고유 지연 ε이 제거되고, 유체 내의 음향 파의 비행 시간 t0가 정확하게 측정된다. 

 3.3 멀티 플렉스 멀티 채널 초음파 유량계

      다중 채널 멀티플렉싱에 의해 설계된 UTG series_Gas 초음파 유량계는 고노이즈 저항, 와류 및 비대칭 흐름 검출

     능력, 센서와 처리 회로의 불확실한 고유 지연 제거, 정확한 측정 등의 특성을 가지고 있다.


     동시에 멀티플렉스 채널을 중복 백업으로 사용할 수 있다.

     개별 센서가 손상되더라도 UTG series_Gas 초음파 유량계는 여전히 정상적으로 작동할 수 있어 검출 신뢰성이 크게

     향상된다.


 

3.4 볼륨 보정의 작동 원리

     온도, 압력 및 유량 센서로 전송되는 볼륨 보정 다중 채널 신호는 실시간 디스플레이 및 신호 원격전송을 실현하기 위해 가스 방정식에

     따라 마이크로 프로세서에 의한 공식 작동으로 대체됩니다.

             기체 방정식 :           

 

공식 :

          V0 : 표준 상태의 부피(m3)
          V : 작업 조건에서의 용적 (m3)
          P = Pa + Pg : 유량계의 압력 검출 점에서의 절대 압력 (kPa)
          Pa : 국소 대기압 (kPa)
          Pg : 유량계의 압력 검출 점에서의 게이지 압력 (kPa)
          P0 : 표준 대기압 (101.325kPa)
          T0 : 표준 상태의 절대 온도 (293.15K)
          T : 측정 된 매질의 절대 온도 (293.15 + t)K
           t : 측정 매체의 온도 (° C)
          Zn : 표준 상태에서의 가스 압축 계수
          Zg : 작동 상태에서의 가스 압축 계수

 

4. 제품 사양



5. 모델 선택